Ceny drukarek i wkładów mogą być mylące. Poniżej przedstawimy rzeczywiste koszty drukowania. Dość często tańszy sprzęt może kosztować Cię więcej niż drogi, poprzez drogie wkłady do niego. Dlatego, aby dokładnie kontrolować wydatki na drukowanie, najważniejszą rzeczą, na której należy się skoncentrować, jest koszt drukowania na stronę.
Budżety drukowania mają tendencję do powiększania się i stają się niemożliwe do zarządzania, jeśli nie są ściśle monitorowane. Koszt drukowania na stronę jest bardzo pomocny w kontrolowaniu kosztów drukowania.
Określenie średniego kosztu wydrukowania strony jest dość proste. Oto formuła, która pomoże to policzyć:

Cena wkładu
Nie ma znaczenia, czy używasz tuszu, czy tonera — wymiana wkładów w drukarce jest najdroższą częścią posiadania drukarki.
Ceny wkładów różnią się znacznie w zależności od marki i modelu drukarki.
Wydajność strony
Mówiąc najprościej, wydajność to liczba stron, które drukarka może wydrukować, zanim będzie potrzebna kolejna wymiana wkładu.
Każdy wkład wymienny — zarówno z atramentem, jak i tonerem — jest dostarczany z przewidywaną wydajnością stron.
Przewidywaną wydajność stron można zwykle znaleźć z tyłu lub z boku opakowania, w którym dostarczono atrament lub toner.
Zwykle można również sprawdzić instrukcję obsługi drukarki (lub wkładu), aby uzyskać więcej informacji na temat wydajności stron.
Należy jednak pamiętać, że te oceny wydajności stron są oparte na wydrukach o pokryciu zaledwie 5% strony. To około jednej trzeciej strony tekstu z podwójnym odstępem. Jeśli drukujesz strony z dużą ilością tekstu lub obrazów, spodziewaj się, że rzeczywiste ceny drukowania za stronę będą znacznie wyższe, a podana wydajność stron niższa.
Koszt papieru
Standardowy koszt papieru do drukowania wynosi od 15 zł do 30 zł za ryzę, w zależności od gramatury i jakości papieru.
Kochamy Matkę Ziemię, ale niektóre papiery z recyklingu to śmieci. Jest to szczególnie ważne, jeśli używasz drukarki atramentowej. Papier przeznaczony do drukarek atramentowych jest przeznaczony do wychwytywania i utrzymywania kropelek atramentu, dopóki nie wyschną. Tani papier pozwala na spływanie atramentu, a kolory przenikają się nawzajem. Jasne, zaoszczędziłeś kilka złoty, ale twoje wydruki wyglądają tak, jakby wpadły do kałuży i zostały przejechane przez dużą ciężarówkę!
Oto wzór określający koszt papieru na arkusz:

Możesz obniżyć koszty, kupując hurtowo, ale nie próbuj oszczędzać, kupując papier niższej klasy. Papier o niskiej cenie papieru drukarskiego może przynieść tanie rezultaty. Pamiętaj o metaforze z kałużą i ciężarówką!
Aby dokładnie obliczyć koszty druku, należy uwzględnić koszt papieru do drukowania, a także koszt tonerów lub tuszów.
Tak więc wiemy już, jakie dokładnie są trzy główne składniki obliczania kosztów drukowania. Zobaczmy teraz, jak w praktyce wykorzystać te składniki i obliczyć koszt drukarki w przeliczeniu na stronę.
Załóżmy, że kupiłeś oryginalny czarny toner HP 12A za 239,99 zł i osiąga ona przewidywaną wydajność 2000 stron, średni koszt drukowania na stronę wynosi około 16 groszy.

Jeśli byłeś naprawdę sprytny i kupiłeś zamiennik wkładu SmartPrint za jedyne 19,99 zł, obniżyłeś koszt drukowania na stronę do 5 groszy.

Liczy się każdy grosz, szacuj koszt wydruku jednej strony!
Obliczanie kosztów druku w kolorze
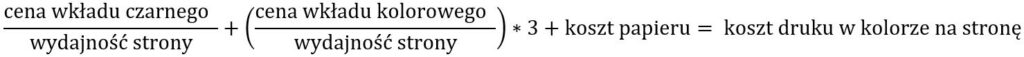
Oto formuła kosztu koloru na stronę:

Najpierw określ koszt wkładu czarnego w przeliczeniu na stronę, dzieląc cenę wkładu przez wydajność w stronach.
Następnie określ koszt druku w kolorze na stronę, dzieląc koszt ceny wkładu kolorowego przez jego wydajność w stronach. Teraz weź tę liczbę i pomnóż przez trzy, ponieważ w swojej drukarce masz trzy kolorowe wkłady.
Na koniec dodaj koszt czarnego wkładu do kosztu wkładu kolorowego w przeliczeniu na stronę i do wyniku dodaj koszt papieru za stronę, aby określić całkowity koszt druku w kolorze na stronę.
Koszty druku kolorowego a koszty druku czarno-białego
Ogólnie rzecz biorąc, koszty druku kolorowego są wyższe niż koszty druku czarno-białego.
Co więcej, tańsze drukarki generalnie mają wyższy koszt wydruku.
Na przykład drukarka za 500 zł może mieć średni koszt druku czarno-białego za stronę 10 groszy, a średni koszt drukowania w kolorze za stronę 60 groszy.
Natomiast drukarka o wartości 2000 zł może wydrukować te same strony za około 5 groszy za czarno-biały i 30 groszy za kolor. Dzieje się tak, ponieważ drukarki z wyższej półki są bardziej wydajne i zużywają mniej atramentu i tonera.
Czy taniej jest drukować w domu czy w punkcie druku?
Potrzebujesz wydrukować 1000 kolorowych kopii?
W przypadku druku o takim rozmiarze stron otrzymasz najlepszą cenę wydruku w kolorze w drukarni. Mają wysokowydajne drukarki komercyjne, które powinny być w stanie wykonać Twoją pracę w ciągu kilku minut. Druki poniżej kilkuset stron, Twoja domowa drukarka powinna być w stanie obsłużyć.
W przypadku małych prac taniej jest drukować w domu. Dużo stron do drukowania będzie wymagało co najmniej drukarki biurowej. Jeśli dużo drukowania stanie się normą, warto zainwestować kilka tysięcy złotych w wysokiej klasy drukarkę, aby zrównoważyć koszty drukowania w kolorze.
Drukarka laserowa a koszt atramentu w przeliczeniu na stronę
To jedno z najważniejszych pytań, jeśli chodzi o koszty drukowania: co jest bardziej opłacalne drukarki laserowe i tonery czy drukarki atramentowe i tusze? Zobaczmy, co mówią liczby.
Koszt na stronę drukarki atramentowej
Koszt druku na stronę drukarek atramentowych jest zazwyczaj wyższy niż w przypadku drukarek laserowych. Dzieje się tak, ponieważ w przypadku wkładów atramentowych wydajność stron jest znacznie niższa.
Koszt wydruku różni się w zależności od marki i modelu drukarki. Ogólnie rzecz biorąc, drukarki atramentowe mają wyższy średni koszt za stronę, wynoszący około 80 groszy za wydruk kolorowy i 30 groszy za wydruk czarno-biały.
Jeśli kupujesz nową drukarkę atramentową, trzymaj się takiej, która używa oddzielnych wkładów atramentowych dla każdego koloru. Pozwoli to zaoszczędzić na całkowitych kosztach.
Jednocześnie drukarki atramentowe z pojemnymi zbiornikami z atramentem mogą również pomóc obniżyć koszty atramentu w przeliczeniu na stronę.
Ile stron można wydrukować przy użyciu jednego wkładu atramentowego?
Standardowy wkład atramentowy pozwala wydrukować średnio 220 stron (przy 11 ml atramentu). Wkład o dużej pojemności drukuje średnio 350 stron (zbiornik mieści 16 ml atramentu).
Załóżmy, że kupiłeś oryginalny czarny wkład atramentowy HP 94 za 220 zł. HP 94 ma wydajność 480 stron, generując koszt wydruku około 45 groszy.

Trójkolorowy wkład atramentowy HP 95 ma wydajność 330 stron i kosztuje 219,99 zł. To powoduje, że koszt za stronę wynosi około 70 groszy za stronę.

Zaoszczędź ponad 20 groszy na każdej wydrukowanej stronie, kupując tusze SmartPrint.
Wszyscy szukają najtańszej drukarki w przeliczeniu na stronę. Czynniki różnią się znacznie, ale wielu użytkowników drukarek atramentowych chwali drukarkę HP OfficeJet 8720 All-in-One, która zapewnia czarno-białe wydruki za około 10 groszy za stronę, a kolorowe za około 40 groszy za sztukę.
Mamy świetną ofertę na zestaw wkładów atramentowych HP 952xl o wysokiej wydajności!
Inne drukarki o niskim koszcie na stronę to HP DeskJet 2135 All-in-One i Canon PIXMA MX922:
Koszt na stronę drukarki laserowej
Koszt tonera na stronę jest zwykle niższy niż koszt drukarki atramentowej na stronę. Średni koszt wydrukowania strony na drukarce laserowej wynosi od 5 do 15 groszy za czarno-białe i od 20 do 30 groszy za kolorowe wydruki laserowe. Jednak koszt druku w kolorze może wzrosnąć nawet o 90 groszy za stronę w przypadku zdjęć i ciężkiej grafiki.
Jaka jest średnia liczba stron, jaką można wydrukować wkład z tonerem?
Wydajność wkładów z tonerem w stronach waha się od 1000 do 5000 stron w przypadku wkładów standardowych, a w przypadku wkładów o dużej pojemności od 10 000 do 12 000 stron Sprawdź na boku pudełka z wkładami – tam powinna być podana wydajność strony.
Należy jednak pamiętać, że wydajność strony jest oparta tylko na 5% pokryciu strony. To jest około jedna trzecia strony tekstu z podwójnym odstępem. Jeśli drukujesz strony lub grafikę z dużą ilością tekstu, spodziewaj się, że rzeczywista wydajność strony będzie wynosić około jednej czwartej mniej. Wkład o wydajności 4000 stron w rzeczywistych warunkach może wyczerpać się po mniej niż 1000 stronach.